Article Categories
- All Categories
-
Data Structure
-
Networking
-
RDBMS
-
Operating System
-
Java
-
MS Excel
-
iOS
-
HTML
-
CSS
-
Android
-
Python
-
C Programming
-
C++
-
C#
-
MongoDB
-
MySQL
-
Javascript
-
PHP
-
Economics & Finance
Selected Reading
Lagrange Interpolation
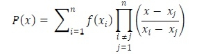
For constructing new data points within a range of a discrete set of given data point, the interpolation technique is used. Lagrange interpolation technique is one of them. When the given data points are not evenly distributed, we can use this interpolation method to find the solution. For the Lagrange interpolation, we have to follow this equation.

Input and Output
Input:
List of x and f(x) values. find f(3.25)
x: {0,1,2,3,4,5,6}
f(x): {0,1,8,27,64,125,216}
Output:
Result after Lagrange interpolation f(3.25) = 34.3281
Algorithm
largrangeInterpolation(x: array, fx: array, x1)
Input − x array and fx array for getting previously known data, and point x1.
Output: The value of f(x1).
Begin res := 0 and tempSum := 0 for i := 1 to n, do tempProd := 1 for j := 1 to n, do if i ≠ j, then tempProf := tempProd * (x1 – x[j])/(x[i] – x[j]) done tempPord := tempProd * fx[i] res := res + tempProd done return res End
Example
#include<iostream>
#define N 6
using namespace std;
double lagrange(double x[], double fx[], double x1) {
double res = 0, tempSum = 0;
for(int i = 1; i<=N; i++) {
double tempProd = 1; //for each iteration initialize temp product
for(int j = 1; j<=N; j++) {
if(i != j) { //if i = j, then denominator will be 0
tempProd *= (x1 - x[j])/(x[i] - x[j]); //multiply each term using formula
}
}
tempProd *= fx[i]; //multiply f(xi)
res += tempProd;
}
return res;
}
main() {
double x[N+1] = {0,1,2,3,4,5,6};
double y[N+1] = {0,1,8,27,64,125,216};
double x1 = 3.25;
cout << "Result after lagrange interpolation f("<<x1<<") = " << lagrange(x, y, x1);
}
Output
Result after lagrange interpolation f(3.25) = 34.3281
Advertisements
